Fuel Blend Calculator . Then, use this equation to find your octane: The calculation will also be sent to your email for your records. octane calculator sometimes it is necessary to mix two different fuels to obtain the correct octane to maximize the performance of your. The mixing calculation will display after clicking calculate. first you need to calculate the percentage of each fuel that will be in the final mixture. this calculator helps you determine the octane rating of a blended fuel mixture from two different fuel sources. When your engine builder recommends a different octane than is available, sometimes it is necessary to mix. Desired octane of fuel : this script is one that calculates a desired octane rating gasoline fuel from blending two other gasoline fuels of known octane rating. Determine octane of flex fuel mixture. e85 calculator to mix ethanol with gas and make e20, e30, e50 blends.
from globaloms.com
The mixing calculation will display after clicking calculate. Desired octane of fuel : this script is one that calculates a desired octane rating gasoline fuel from blending two other gasoline fuels of known octane rating. first you need to calculate the percentage of each fuel that will be in the final mixture. e85 calculator to mix ethanol with gas and make e20, e30, e50 blends. The calculation will also be sent to your email for your records. this calculator helps you determine the octane rating of a blended fuel mixture from two different fuel sources. octane calculator sometimes it is necessary to mix two different fuels to obtain the correct octane to maximize the performance of your. When your engine builder recommends a different octane than is available, sometimes it is necessary to mix. Determine octane of flex fuel mixture.
OMSSW002 Butane Blending Benefits calculator globaloms
Fuel Blend Calculator first you need to calculate the percentage of each fuel that will be in the final mixture. octane calculator sometimes it is necessary to mix two different fuels to obtain the correct octane to maximize the performance of your. e85 calculator to mix ethanol with gas and make e20, e30, e50 blends. When your engine builder recommends a different octane than is available, sometimes it is necessary to mix. Desired octane of fuel : this script is one that calculates a desired octane rating gasoline fuel from blending two other gasoline fuels of known octane rating. first you need to calculate the percentage of each fuel that will be in the final mixture. The calculation will also be sent to your email for your records. Then, use this equation to find your octane: The mixing calculation will display after clicking calculate. this calculator helps you determine the octane rating of a blended fuel mixture from two different fuel sources. Determine octane of flex fuel mixture.
From calculator.academy
Fuel Adjustment Factor Calculator Calculator Academy Fuel Blend Calculator Desired octane of fuel : this script is one that calculates a desired octane rating gasoline fuel from blending two other gasoline fuels of known octane rating. Determine octane of flex fuel mixture. Then, use this equation to find your octane: this calculator helps you determine the octane rating of a blended fuel mixture from two different fuel. Fuel Blend Calculator.
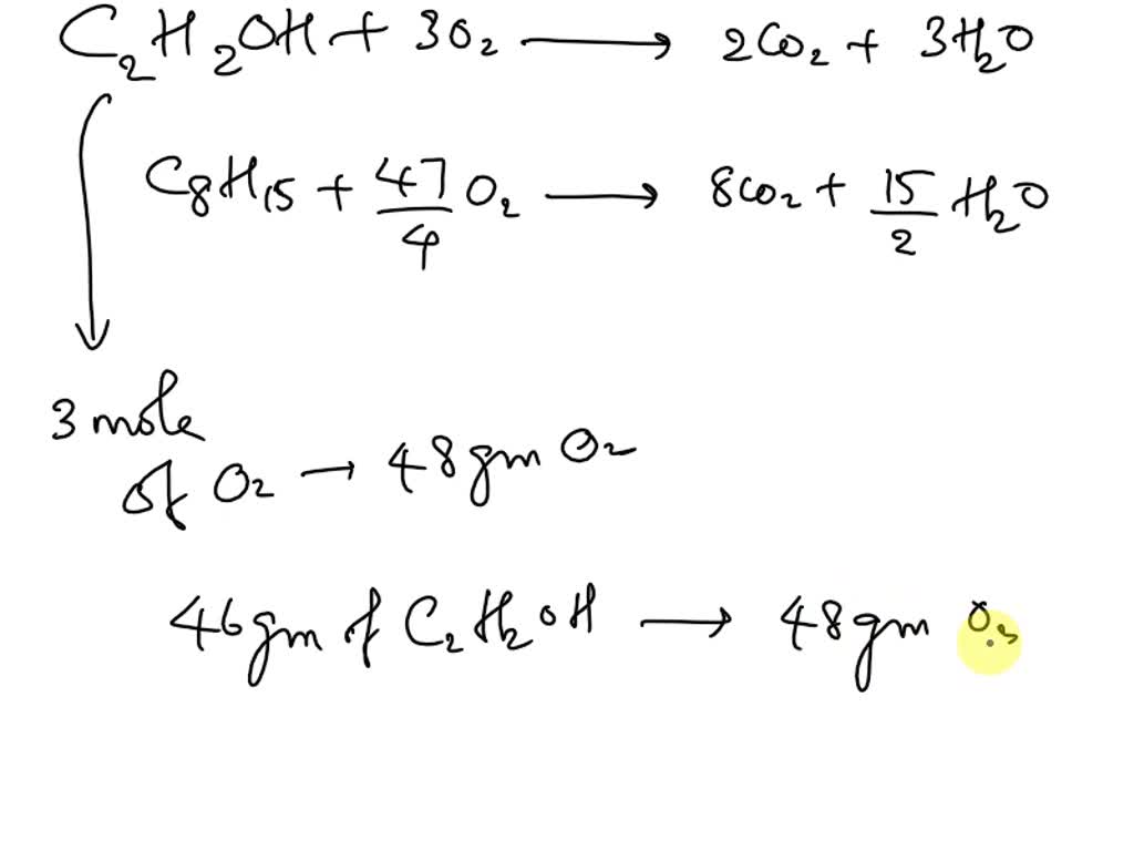
From www.researchgate.net
Equivalence ratios and fuel blends utilized for the constant adiabatic... Download Scientific Fuel Blend Calculator e85 calculator to mix ethanol with gas and make e20, e30, e50 blends. Desired octane of fuel : this script is one that calculates a desired octane rating gasoline fuel from blending two other gasoline fuels of known octane rating. Then, use this equation to find your octane: The calculation will also be sent to your email for. Fuel Blend Calculator.
From globaloms.com
Fuels Blending Systems globaloms Fuel Blend Calculator this calculator helps you determine the octane rating of a blended fuel mixture from two different fuel sources. Determine octane of flex fuel mixture. When your engine builder recommends a different octane than is available, sometimes it is necessary to mix. this script is one that calculates a desired octane rating gasoline fuel from blending two other gasoline. Fuel Blend Calculator.
From lessonluft.z19.web.core.windows.net
Fuel Mix Ratio Calculator Fuel Blend Calculator Determine octane of flex fuel mixture. Then, use this equation to find your octane: octane calculator sometimes it is necessary to mix two different fuels to obtain the correct octane to maximize the performance of your. The calculation will also be sent to your email for your records. e85 calculator to mix ethanol with gas and make e20,. Fuel Blend Calculator.
From www.horsepowerinnovations.com
Stoichiometric ratios of ethanol, gasoline, and various E85 blends Fuel Blend Calculator e85 calculator to mix ethanol with gas and make e20, e30, e50 blends. Determine octane of flex fuel mixture. octane calculator sometimes it is necessary to mix two different fuels to obtain the correct octane to maximize the performance of your. this script is one that calculates a desired octane rating gasoline fuel from blending two other. Fuel Blend Calculator.
From play.google.com
Blend Calculator Android Apps on Google Play Fuel Blend Calculator Desired octane of fuel : first you need to calculate the percentage of each fuel that will be in the final mixture. Determine octane of flex fuel mixture. When your engine builder recommends a different octane than is available, sometimes it is necessary to mix. The calculation will also be sent to your email for your records. octane. Fuel Blend Calculator.
From www.sh-sinpar.com
How to Prepare an Octane Blend with an Automatic Reference Fuel Blender? Fuel Blend Calculator When your engine builder recommends a different octane than is available, sometimes it is necessary to mix. e85 calculator to mix ethanol with gas and make e20, e30, e50 blends. this script is one that calculates a desired octane rating gasoline fuel from blending two other gasoline fuels of known octane rating. The mixing calculation will display after. Fuel Blend Calculator.
From jeffreycrane.blogspot.com
Bikes, Beer, and Adventures Blending Calculator pH, ABV and Carbonation Fuel Blend Calculator this script is one that calculates a desired octane rating gasoline fuel from blending two other gasoline fuels of known octane rating. The mixing calculation will display after clicking calculate. this calculator helps you determine the octane rating of a blended fuel mixture from two different fuel sources. When your engine builder recommends a different octane than is. Fuel Blend Calculator.
From www.proscubadiver.net
Padi Gas Blender Course PADI IDC Exam Revision and Theory Fuel Blend Calculator When your engine builder recommends a different octane than is available, sometimes it is necessary to mix. Determine octane of flex fuel mixture. The calculation will also be sent to your email for your records. octane calculator sometimes it is necessary to mix two different fuels to obtain the correct octane to maximize the performance of your. Then, use. Fuel Blend Calculator.
From www.slideserve.com
PPT CHAPTER 10 Gasoline, Alternative Fuels, and Diesel Fuels PowerPoint Presentation ID5428420 Fuel Blend Calculator this script is one that calculates a desired octane rating gasoline fuel from blending two other gasoline fuels of known octane rating. Determine octane of flex fuel mixture. first you need to calculate the percentage of each fuel that will be in the final mixture. The calculation will also be sent to your email for your records. Then,. Fuel Blend Calculator.
From www.numerade.com
SOLVED Calculate the stoichiometric airfuel ratio of a fuel blend containing 80 vol. ethanol Fuel Blend Calculator Determine octane of flex fuel mixture. Desired octane of fuel : e85 calculator to mix ethanol with gas and make e20, e30, e50 blends. this calculator helps you determine the octane rating of a blended fuel mixture from two different fuel sources. this script is one that calculates a desired octane rating gasoline fuel from blending two. Fuel Blend Calculator.
From online-iso-calculator.com
Calculate Blend essence manager Fuel Blend Calculator Determine octane of flex fuel mixture. first you need to calculate the percentage of each fuel that will be in the final mixture. octane calculator sometimes it is necessary to mix two different fuels to obtain the correct octane to maximize the performance of your. The calculation will also be sent to your email for your records. The. Fuel Blend Calculator.
From www.chegg.com
Solved (10pts) Consider the ethanolgasoline blends listed Fuel Blend Calculator Then, use this equation to find your octane: The calculation will also be sent to your email for your records. e85 calculator to mix ethanol with gas and make e20, e30, e50 blends. this calculator helps you determine the octane rating of a blended fuel mixture from two different fuel sources. Determine octane of flex fuel mixture. The. Fuel Blend Calculator.
From www.onallcylinders.com
Ask Away! with Jeff Smith Some Calculations & Guidelines for Blending Fuel Octanes Fuel Blend Calculator octane calculator sometimes it is necessary to mix two different fuels to obtain the correct octane to maximize the performance of your. this calculator helps you determine the octane rating of a blended fuel mixture from two different fuel sources. this script is one that calculates a desired octane rating gasoline fuel from blending two other gasoline. Fuel Blend Calculator.
From www.youtube.com
Fuel Oil Blending Calculator YouTube Fuel Blend Calculator e85 calculator to mix ethanol with gas and make e20, e30, e50 blends. Determine octane of flex fuel mixture. When your engine builder recommends a different octane than is available, sometimes it is necessary to mix. The mixing calculation will display after clicking calculate. The calculation will also be sent to your email for your records. octane calculator. Fuel Blend Calculator.
From cybershipping.co.kr
Viscosity Calculation Table for Blended Fuel Oils Fuel Blend Calculator Determine octane of flex fuel mixture. this script is one that calculates a desired octane rating gasoline fuel from blending two other gasoline fuels of known octane rating. When your engine builder recommends a different octane than is available, sometimes it is necessary to mix. Then, use this equation to find your octane: Desired octane of fuel : The. Fuel Blend Calculator.
From www.youtube.com
Fuel Oil Blending Calculator YouTube Fuel Blend Calculator e85 calculator to mix ethanol with gas and make e20, e30, e50 blends. Then, use this equation to find your octane: this script is one that calculates a desired octane rating gasoline fuel from blending two other gasoline fuels of known octane rating. The calculation will also be sent to your email for your records. octane calculator. Fuel Blend Calculator.
From www.researchgate.net
Air Fuel Ratio of the EthanolGasoline Blend (E5) Octane Number on... Download Scientific Diagram Fuel Blend Calculator Desired octane of fuel : The calculation will also be sent to your email for your records. Determine octane of flex fuel mixture. e85 calculator to mix ethanol with gas and make e20, e30, e50 blends. When your engine builder recommends a different octane than is available, sometimes it is necessary to mix. Then, use this equation to find. Fuel Blend Calculator.